• Предмет: Математика
  • Автор: kyoya2
  • Вопрос задан 10 лет назад

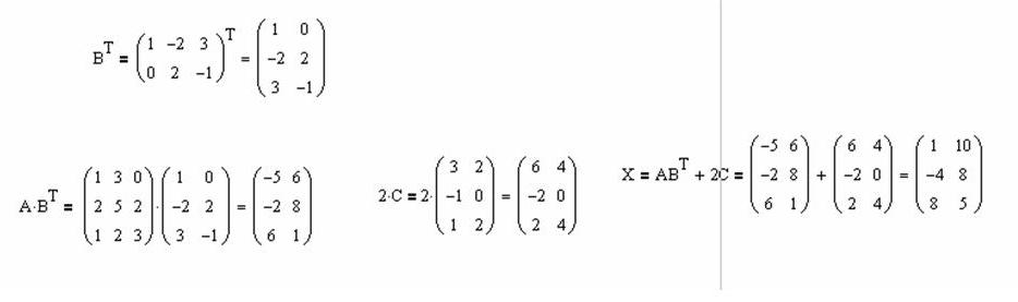
Помогите пожалуйста решить вот эту матрицу.

Приложения:

Ответы

Ответ дал: Evklid61
0
Желаю успехов в учебе!
Приложения:
Ответ дал: kyoya2
0
Спасибо тебе большое)
Ответ дал: Evklid61
0
На здоровье тебе огромное!
Вас заинтересует