три восьмых разделить на минус девять шестнадцатых, объясните пожалуйста, напишите правила как умножать если число с минусом
Ответы
Ответ дал:
0
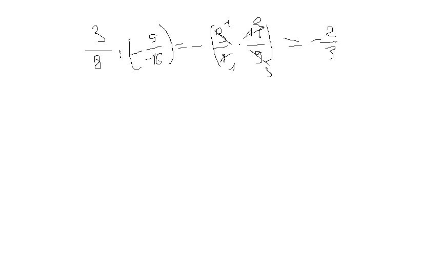
3/8 делить на -(9/16)=-(3/8*16/9)=там сокращается и получается = -2/3
Приложения:

Вас заинтересует
2 года назад
2 года назад
7 лет назад
7 лет назад
10 лет назад
10 лет назад
10 лет назад
10 лет назад