• Предмет: Физика
  • Автор: Настя110600
  • Вопрос задан 10 лет назад

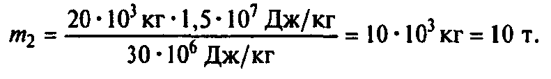
Сожгли торф массой 20 тонн какова масса каменного угля который можно заменить торф?

Ответы

Ответ дал: LEROU21
0
Думаю, что "Дано" в силах самостоятельно записать.
Вот, пожалуйста, решение.
*Удельная теплота сгорания торфа  1,5 ⋅ 107 Дж/кг.
Приложения:
Вас заинтересует