• Предмет: Алгебра
  • Автор: Dvito
  • Вопрос задан 11 лет назад

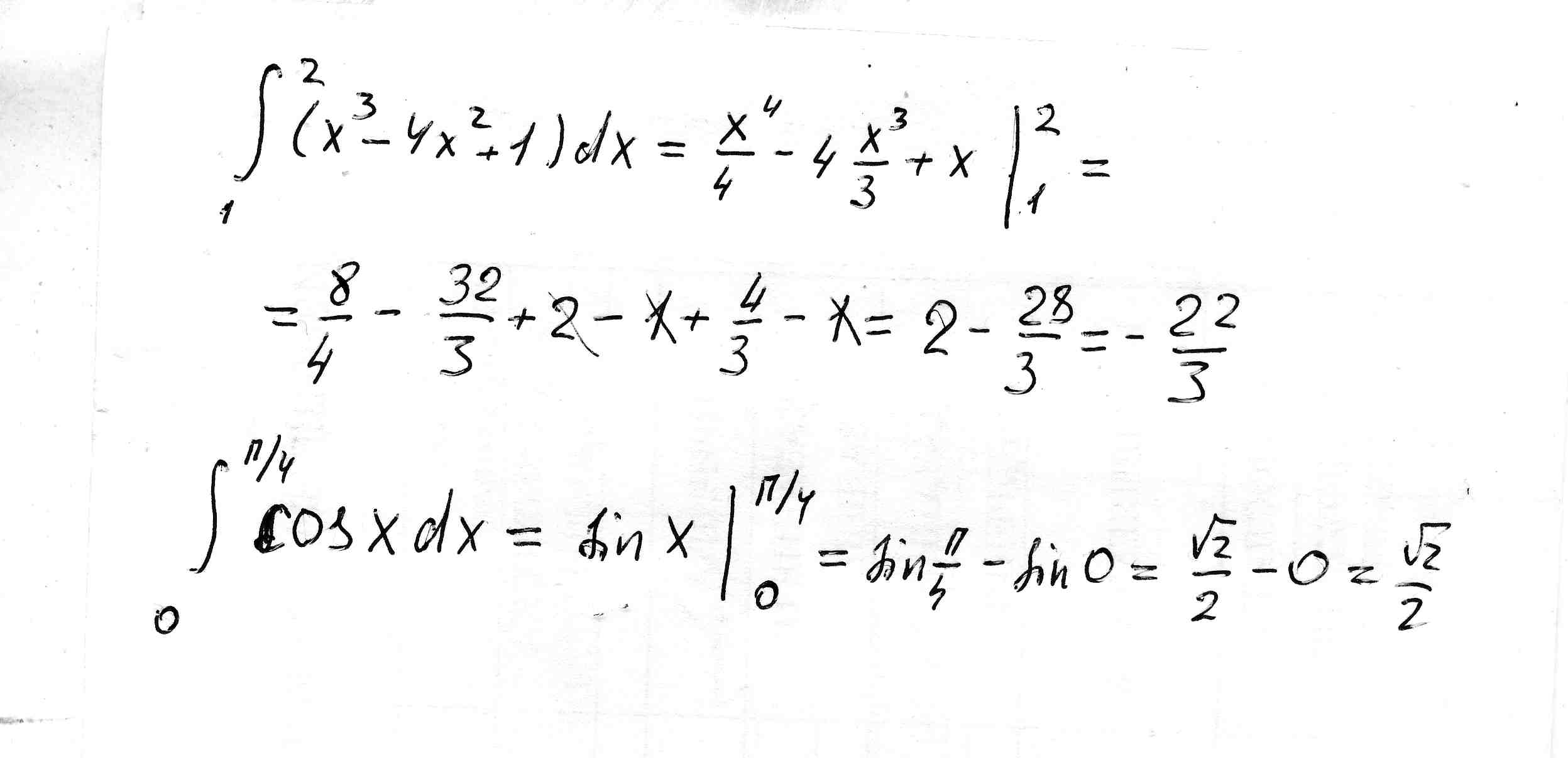
Решить два примера определенного интеграла..

Приложения:

Ответы

Ответ дал: Гоша68
0

1) x^4/4-4x^3/3+x

2)sinx

 

1) 8/4-32/3+2-1+4/3-1=2-28/3=-22/3

2)sqrt(2)/2-0=sqrt(2)/2

Приложения:
Вас заинтересует