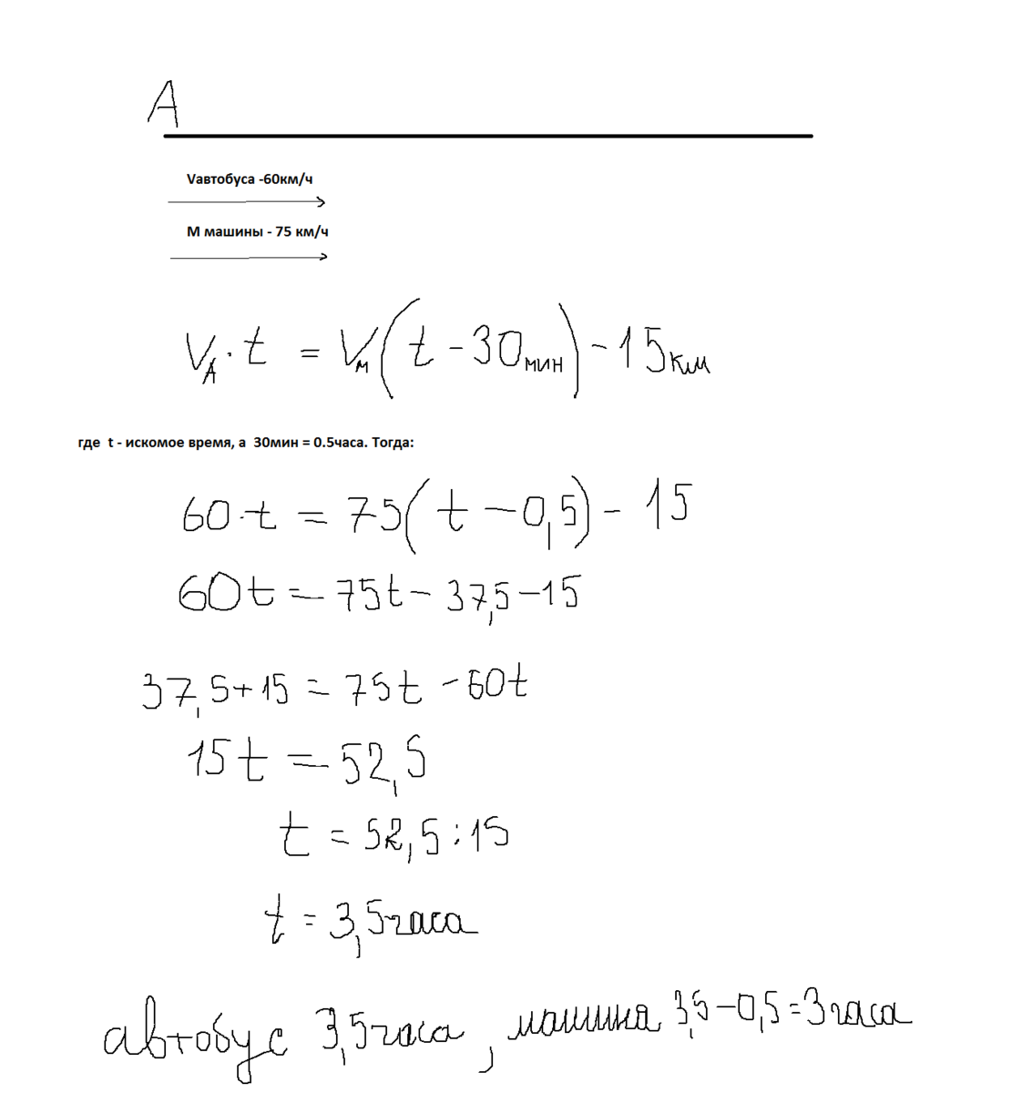
В 12ч от автовокзала отошёл автобус со скорость 60кмч А через полчаса вслед за ним выехала машина со скоростью 75кмч. Через сколько часов после своего выезда машина обгонит автобус на 15км
Ответы
Ответ дал:
0
решение в приложенном файле
Приложения:

Ответ дал:
0
за 3 часа автомобиль проедет 225 км, а автобус ехал 3,5 часа и проехал 210 км, то есть на 15 км меньше
Ответ: через 3 часа
Приложения:

Вас заинтересует
2 года назад
7 лет назад
7 лет назад
10 лет назад
10 лет назад