• Предмет: Алгебра
  • Автор: evilomenson
  • Вопрос задан 10 лет назад

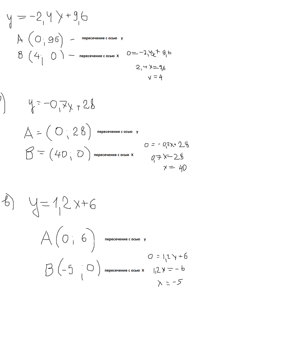
не выполняя построения найдите координаты точек пересечения с осями координат графика функции.
а)y=-2.4x+9.6
б)y=-0.7x+28
в)у=1.2x+6
г)y=-5x+2 ПОМОГИТЕ

Ответы

Ответ дал: ireena
0
решение в приложенном файле
Приложения:
Вас заинтересует