• Предмет: Физика
  • Автор: Милка2013
  • Вопрос задан 11 лет назад

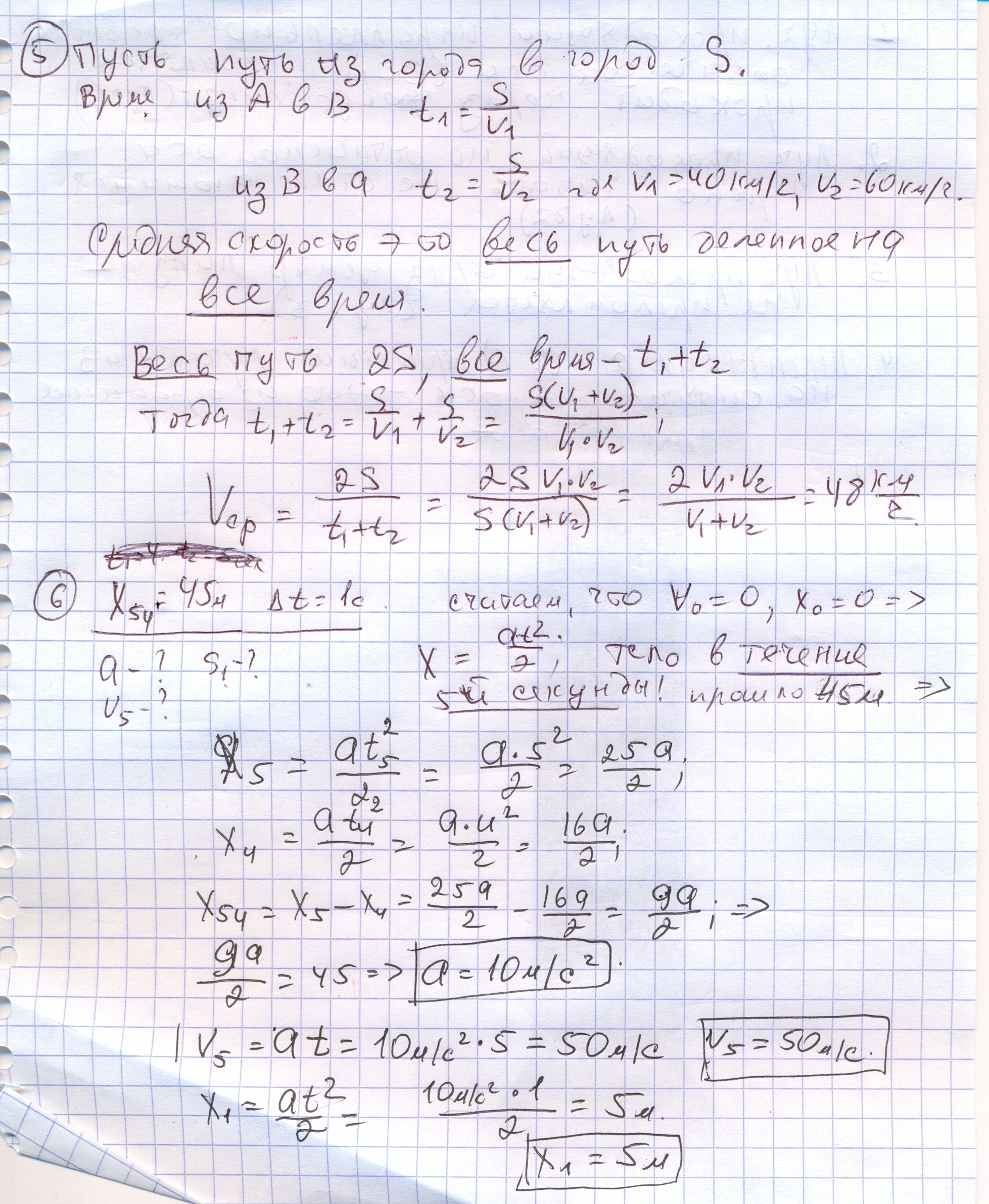
1)какие из перечисленных величин являются скалярными? а) путь, б)перемещение, в)скорость, г)ускорение 2)Ускорение автомобиля, начавшего движение, равно 0,5 м/с2. какой путь пройдет автомобиль за промежуток времени 4 секунды, двигаясь с этим ускорением? 3)движение тела задано уравнением х=1+3t+2t2(м). какой будет его скорость через промежуток времени 5 с после начала отсчета времени? 4)вагон движется со скоростью 72км/ч. дождевые капли в безветренную погоду оставляют след на его окне под углом 60 градусов к вертикали. найдите скорость падения капель. 5)автомобиль доставил груз из пункта А в пункт В, перемещаясь в среднем со скоростью 40 км/ч. возвращаясь обратно, автомобиль двигался со средней скоростью 60 км/ч. чему равна средняя скорость его движения на всем пути? 6)Тело, двигаясь равноускоренно, в течение пятой секунды от начала движения прошло 45м. с каким ускорением двигалось тело? какова его скорость в конце пятой секунды? какой путь прошло тело за первую секунду?

Ответы

Ответ дал: ужнеужели
0
Решение в скане.................
Приложения:
Вас заинтересует