Алгебра 10 класс!
Избавиться от иррациональности в знаменатели дроби.
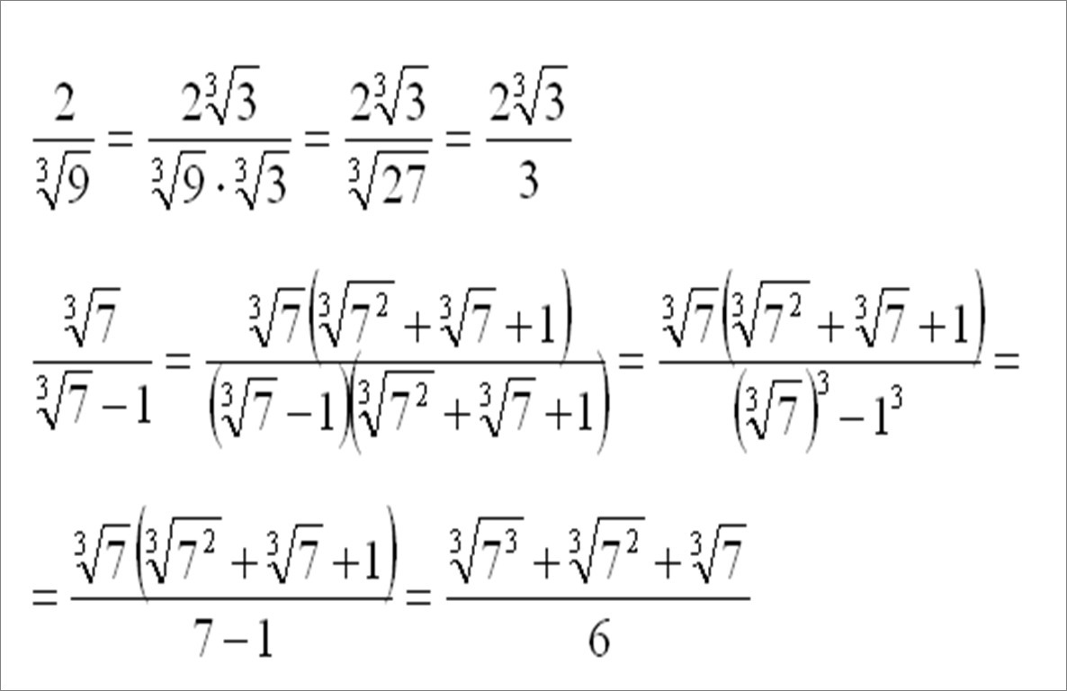
a) 2/(корень 3 степени из 9)
b)корень 3 степени из 7/(корень 3 степени из 7 -1)
Ответы
Ответ дал:
0
См. решение в прикрепленном файле
Приложения:
Вас заинтересует
3 года назад
8 лет назад
8 лет назад
10 лет назад
10 лет назад
11 лет назад
11 лет назад