• Предмет: Физика
  • Автор: НМетАУ
  • Вопрос задан 11 лет назад

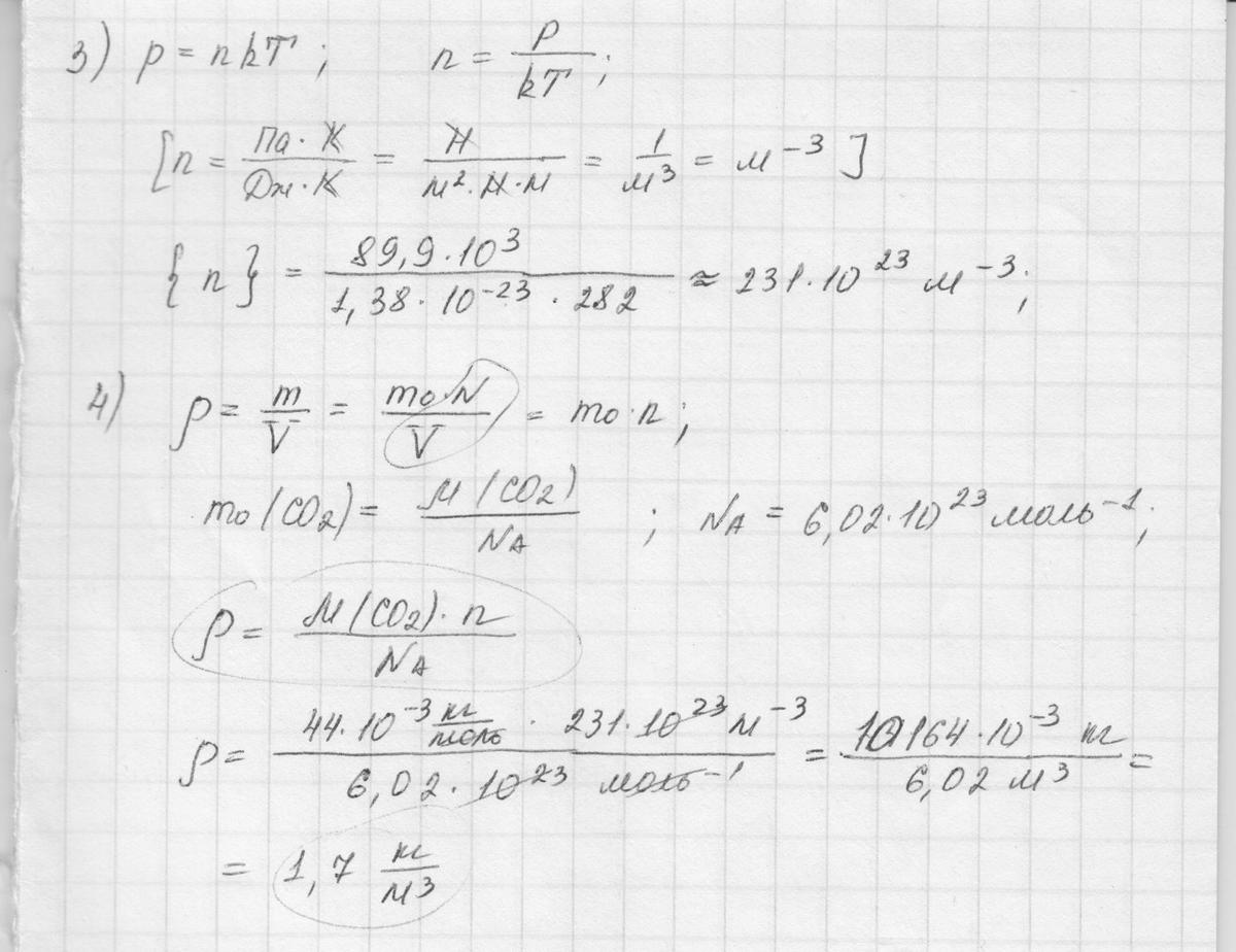
Зная абсолютную температуру CO2 и давление.

T = 282 К и Px10^3= 89.9 Па

Найти :

1) среднюю кинетическую энергию поступательного движения молекул ;

2) концентрацию молекул ;

3) плотность

4) среднюю квадратичную скорость

Ответы

Ответ дал: Andriken
0

Полное решение прилагается.

Приложения:
Вас заинтересует