• Предмет: Геометрия
  • Автор: seregaxxx94
  • Вопрос задан 11 лет назад

В правильной треугольной пирамиде плоский угол при вершине равен 30 градусов, а кратчайшее расстояние между боковым ребром и противоположной стороной основания равно 3 см. Найдите объём этой пирамиды.   (ЖЕЛАТЕЛЬНО С ЧЕРТЕЖОМ)

 

Ответы

Ответ дал: Kami924
0

 правильная пирамида - все углы равны и стороны равны.Таким образом, задан тетраэдр.

 

плоский угол при вершине - угол между двумя ребрами.

 

Пусть боковая сторона равна а.

Рассмотрим прямоугольный треугольник ABC, образованный боковой стороной тетраэдра, её проекцией на основание и высотой пирамиды.

 

Ясно, что основание высоты равноудалено от вершин основания, то есть проекция бокового ребра на основание есть радиус R описанной окружности вокруг треугольника со стороной а, т. е. R =frac{asqrt{3}}{3};

 

Заданный отрезок длины 3 является в построенном прямоугольном треугольнике МЕДИАНОЙ, то есть равен половине гипотенузы. А роль гипотенузы играет боковое ребро. Поэтому а = 6 

 

Площадь правильного треугольника со стороной 6 равна frac{a^{2}sqrt{3}}{4}= frac{6^2*sqrt{3}}{4}=9sqrt{3}6^2*√3/4; а всего у нас 4 одинаковых грани, то есть площадь всей поверхности пирамиды равна

36*sqrt{3}

 

 

Приложения:
Ответ дал: Fatter
0

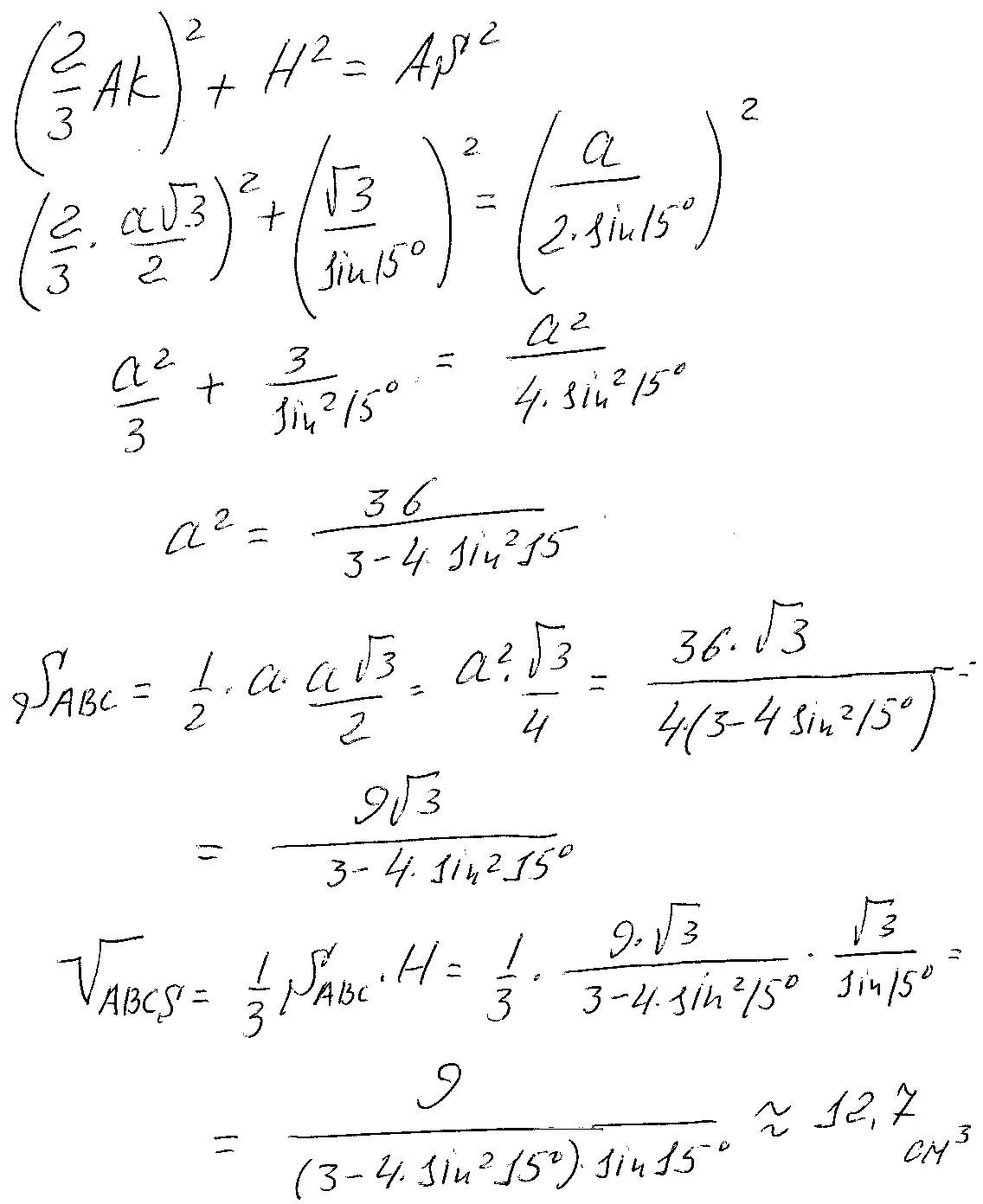
Обозначим пирамиду АВСS(смотри рисунок). Пирамида правильная значит в основании лежит правильный треугольник( обозначим его сторону а) и высота ОS пирамиды проецируется в центр основания. Кратчайшее расстояние МК перпендикулярна АS. Из треугольника SВК найдём боковое ребро. Прямоугольные треугольники АМК и АSО подобны по острому углу SАО. Отсюда находим Н. Дальше по теореме Пифагора, из треугольника АSО находим выражение  а квадрат. Подставляем найденные значения в известную формулу. Ответ на рисунке.

Приложения:
Вас заинтересует