Ответы
Ответ дал:
0
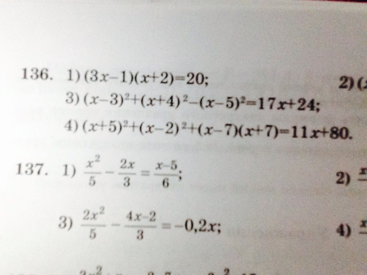
136.
1) 3х*х + 3х*2 - 1*х - 1*2=20
3х^2 + 6х - х - 2 = 20
3х^2 +5х - 22 = 0
D=25+264 = 289, √D=17;-17
х1 = -5+17/12 = 1
х2 = -5-17/12= - 11/6
135.
1) Умножаем на 10, и переносим всё влево:
13х+2-7
= 0
D=225, √D=15;-15
x1=-13+15/-14=-1/7
х2=-13-15/-14= 2
3) Умножаем на 3:
27
+6х-1=0
D=108+36=144, √D =12;-12
х1=-6+12/54=1/9
х2=-6-12/54=-1/3
1) 3х*х + 3х*2 - 1*х - 1*2=20
3х^2 + 6х - х - 2 = 20
3х^2 +5х - 22 = 0
D=25+264 = 289, √D=17;-17
х1 = -5+17/12 = 1
х2 = -5-17/12= - 11/6
135.
1) Умножаем на 10, и переносим всё влево:
13х+2-7
D=225, √D=15;-15
x1=-13+15/-14=-1/7
х2=-13-15/-14= 2
3) Умножаем на 3:
27
D=108+36=144, √D =12;-12
х1=-6+12/54=1/9
х2=-6-12/54=-1/3
Вас заинтересует
2 года назад
10 лет назад
10 лет назад
11 лет назад