• Предмет: Алгебра
  • Автор: Нур1998
  • Вопрос задан 11 лет назад

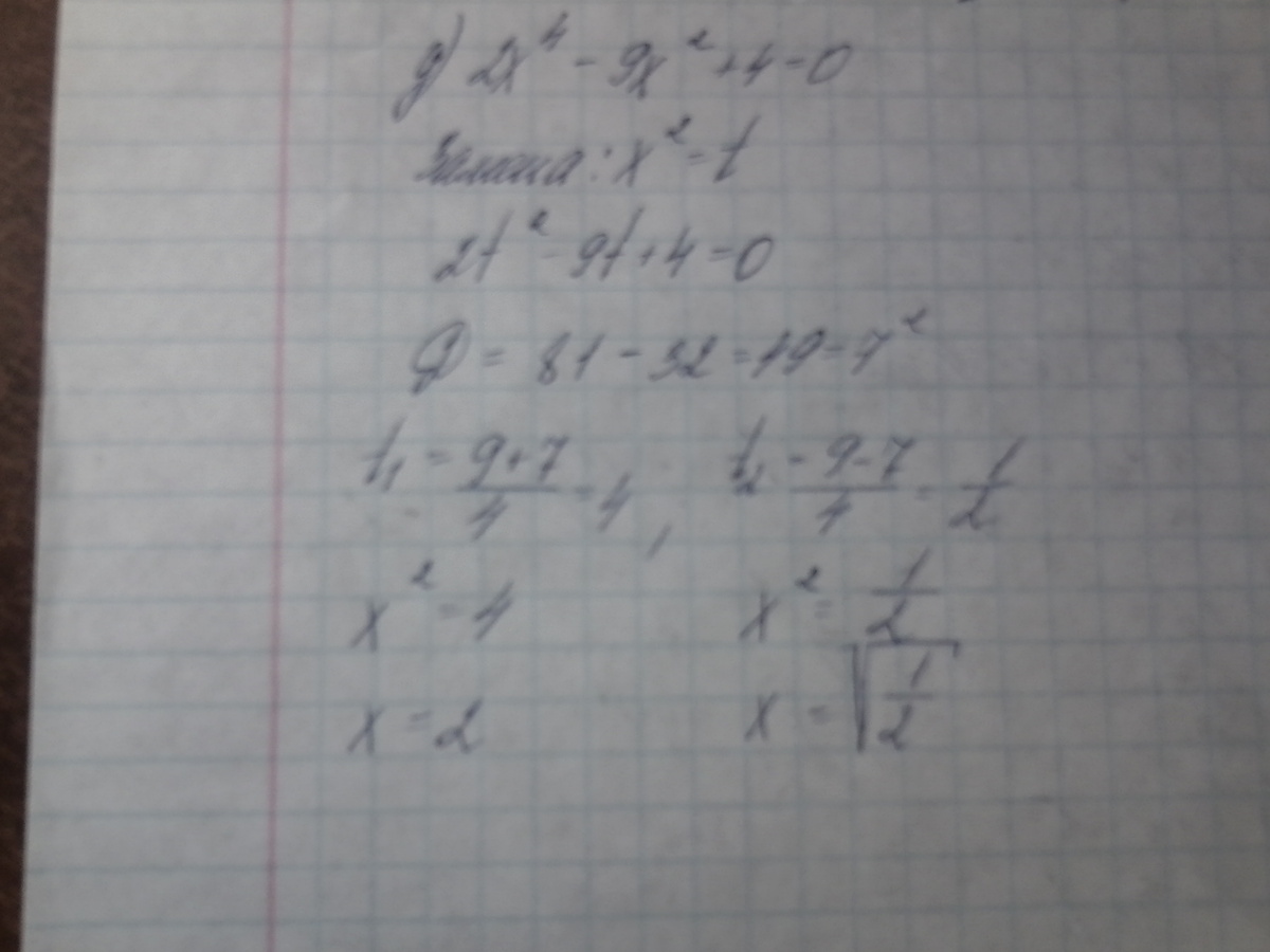
помогите найти корни биквадратного уравнения(если можно то с объяснением)
  

Приложения:

Ответы

Ответ дал: sanyadolgov
0

 

решаются так: вводится новая переменная (пример: т = x^2) получается квадратное уравнение at^2+bt+c=0 

далее решается как кваратное уравнение

как найдешь корни уравнения решаешь уравнения

t1=x^2

t2=x^2

получившиеся значения х и будут корнями биквадратного уравнения.

 

 

ну и пример:

х^4-25x^2+144=0

m=x^2

m^2-25m+144=0

 

d= (-25)^2 - 4*144= 625- 576=49

m1=(25-7)/2=9

 

m2=(25+7)/2=16

 

 

x^2=9                   x^2=16

x1=3 x2=-3           x3=4 x4=-4

 

 

 

 

 

 

 

 

 

 

 

 

 

 

 

 

 

 

Ответ дал: rickmanova
0

Вообще такие уравнения через замену решаются.

 

2)e)5y^4-5y^2+2=0

     Замена:y^2=t

     5t^2-5t+2=0

     D=25-40=-15 =>корней нет

 

Приложения:
Вас заинтересует