Ответы
Ответ дал:
0
чтоб решить интеграл нужно узнать исходную функцию от которой была взята производная
1) tg
+C
2)
3) ctg(
Ф ) +C
1) tg
2)
3) ctg(
Приложения:
Ответ дал:
0
А само решение можно, пожалуйста очень нужно
Ответ дал:
0
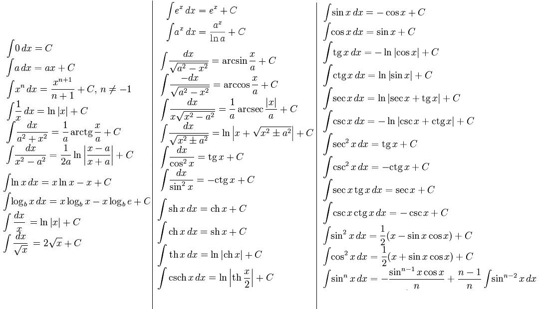
формулы интегралов стандартные посмотрите
Ответ дал:
0
если бы я знала как решать сюда бы не писала((
Вас заинтересует
3 года назад
8 лет назад
10 лет назад
10 лет назад
11 лет назад