• Предмет: Алгебра
  • Автор: king1212
  • Вопрос задан 10 лет назад

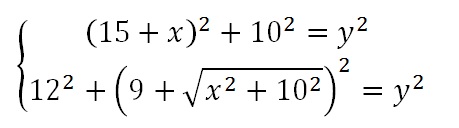
нужен только ответ х и у

Приложения:

Ответы

Ответ дал: pialex210
0
X = 7,5 Y = 24,6

X = 7,5 Y = 24,6


Вас заинтересует