• Предмет: Химия
  • Автор: Benjamin
  • Вопрос задан 10 лет назад

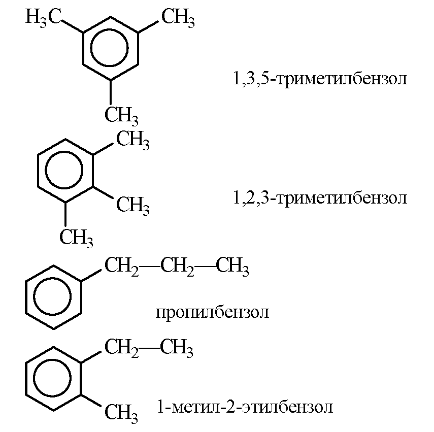
составьте структурные формулы шести изомеров отвечающих молекулярной формуле c6h6

Ответы

Ответ дал: Ancha98
0
Насчет шести не уверена
Приложения:
Вас заинтересует