Ответы
Ответ дал:
0
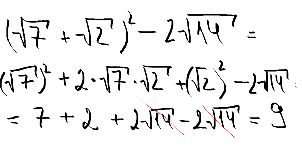
Тут всё очень просто: раскрываешь скобки по формуле квадрата суммы и упрощаешь.
UPD: добавила решение третьего номера.
Там нужно использовать формулу квадрата разности, разложить многочлен в числителе и упростить.
UPD: добавила решение третьего номера.
Там нужно использовать формулу квадрата разности, разложить многочлен в числителе и упростить.
Приложения:


Ответ дал:
0
Добавила решение третьего номера.
Ответ дал:
0
второй же
Вас заинтересует
2 года назад
2 года назад
7 лет назад
7 лет назад
10 лет назад
10 лет назад
10 лет назад