• Предмет: Алгебра
  • Автор: Tanyshka1
  • Вопрос задан 11 лет назад

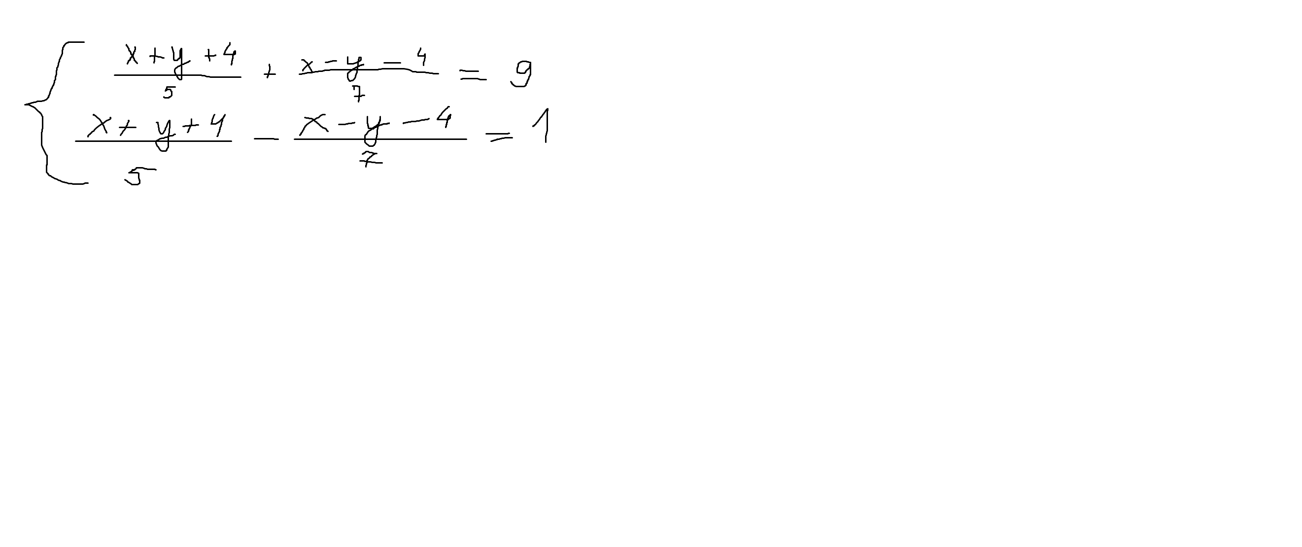
Пожалуйста помогите, очень нужно решить  систему уравнений

Приложения:

Ответы

Ответ дал: Гоша68
0

(x+y+4)/5=t

(x-y-4)/7=s

t+s=9

t-s=1

t=5

s=4

x+y+4=25          x+y=21

x-y-4=28           x-y=32     x=26,5  y=-5,5

Вас заинтересует