• Предмет: Алгебра
  • Автор: полька666
  • Вопрос задан 11 лет назад

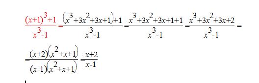
Помогите очень срочно сократите дробь (х+1)3+1/х3-1 только тройка после скобки это куб и тройка после икса это куб

Ответы

Ответ дал: triolana
0

==================================================

Приложения:
Вас заинтересует