• Предмет: Физика
  • Автор: Rsbbitcat
  • Вопрос задан 10 лет назад

На какой высоте над Землей сила тяготения,действующая на тело массой 3 кг,равна 15Н?
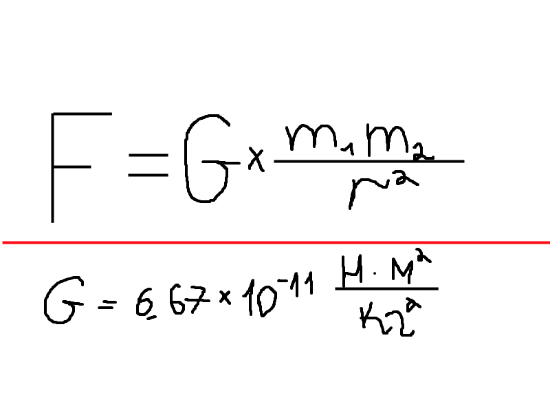
надо использовать вот эту формулу:

Приложения:

Ответы

Ответ дал: fatt52
0


mg1=GmM/R1² = 30 H    (на поверхности Земли)

mg2=GmM/R2²=15 H

R2=R1√2=6400*1.41=9050 км

высота h=R2-R1=9050-6400=2650 км

Вас заинтересует