• Предмет: Алгебра
  • Автор: МАрИйКа14
  • Вопрос задан 11 лет назад

нало вычислить.ПОМОГИТЕ,ПОЖАЛУЙСТА С ОБЪЯСНЕНИЕМ

Приложения:

Ответы

Ответ дал: Artem112
0

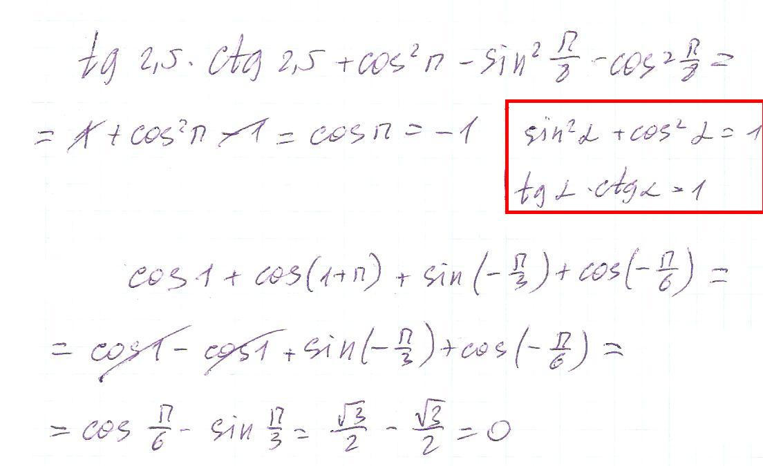
надеюсь понятно будет...

Приложения:
Ответ дал: Гоша68
0

произведение тангенса и котангенса одного аргумента равно 1.

сумма квадратов синуса и косинуса тоже есть 1.

косинус П=-1, в квадрате даст 1. подводя итоги имеем

1+1-1=1

сos1-cos1-sinП/3+cos(П/2-П/3)=0-sinП/3+sinП/3=0

Приложения:
Вас заинтересует