• Предмет: Математика
  • Автор: panda6
  • Вопрос задан 10 лет назад

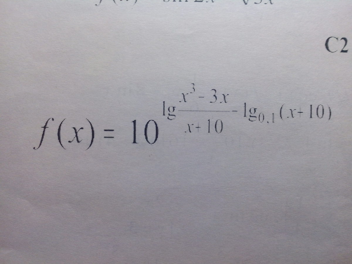
найти ПРОИЗВОДНУЮ ФУНКЦИИ) СПАСИБО)

Приложения:

Ответы

Ответ дал: nelle987
0
lgdfrac{x^3-3x}{x+10}-log_{0.1}(x+10)=lgdfrac{x^3-3x}{x+10}+lg(x+10)=\=lgleft(dfrac{x^3-3x}{x+10}cdot(x+10)right)=lg(x^3-3x)\
f(x)=10^{lg(x^3-3x)}=x^3-3x\
boxed{f'(x)=3x^2-3}
Вас заинтересует