Ответы
Ответ дал:
0
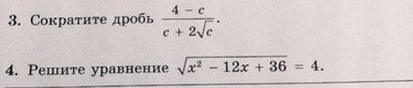
3.
4.


x € [6; ∞)
4.
x € [6; ∞)
Ответ дал:
0
€ имелся в виду знак "принадлежит"
Вас заинтересует
3 года назад
3 года назад
8 лет назад
8 лет назад