• Предмет: Геометрия
  • Автор: marico1997
  • Вопрос задан 11 лет назад

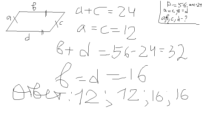
сумма двух сторон параллелограмма равна 24 см а периметр -56см найдите сторона параллелограмма

Ответы

Ответ дал: ПетрИванович
0

P=2y+2x,

x+x=24=> x=12

28=x+y, значи y= 16,

проверка 56=16*2+12*2= 32+24= 56

 

Ответ дал: смайлик111
0

см.рисунок........................

Приложения:
Вас заинтересует