• Предмет: Математика
  • Автор: Sanek365
  • Вопрос задан 10 лет назад

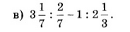
Напишите решение к этому выражению:

Приложения:

Ответы

Ответ дал: dimka9828
0
условие=22/7 * 7/2 - 3/7=11-3/7=77/7 - 3/7=74/7=10целых4/7
Ответ дал: dimka9828
0
вроде правильно
Ответ дал: ПоЗиТиВнЫй0
0
1)3 1/7 - это 15/7 15/7*7/2=15/2=7,5. => 2)-1: 2 1/3 =-1:7/3=-1*3/7=-3/7 => 3) 7,5 -3/7=7,5-0,4 =7,1 Ответ : 7 целых одна десятая
Вас заинтересует