• Предмет: Алгебра
  • Автор: RimasikCHEL
  • Вопрос задан 11 лет назад

найдите произведение корней уравнения х^3-3x^2-4x+12=0

Ответы

Ответ дал: RazorEdge
0

Ищем свободный делитель последнего чиста 12 ( 1 , -1 , 2 , -2 , 3 и т.д ) . За теоремой Безу делим в столбик на х-2 ( так как 2 подходит ) выйдет x^2-x-6 , дальше за т.Виета или дискриминантом  , х1 = 3 , х2 = -2

Ответ дал: Аноним
0

х^3-3x^2-4x+12=0

Для решения уравнение разделим его на один из его корней, корень ищем среди делителей свободного члена. В данном случае это 12

12 Делители:

+1 -1 +2 -2 -3 +3 +4 - 4 +6 - 6 +12 - 12

2 подходит

Делим

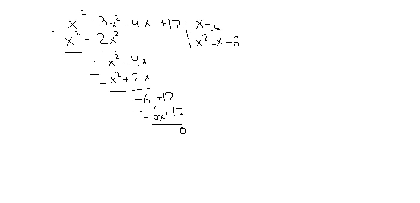
 х^3-3x^2-4x+1 на x-2 (смотри рисунок)

получаеться(x-2)(x^2-x-6)=0

Решаем: x^2-x-6

D=b^2-4*a*c = 1+24 = 25

x1=-2

x2=3

(x-2)(x-3)(x+2)=0

Произведение корней : -2*2*3 = -12

Ответ: -12

 

 

 

 

 

 

 

 

 

 

 

 

 

 

 

 

 

 

 

 

 

 

 

 

 

 

 

 

 

 

 

 

 

 

 

 

 

 

 

Приложения:
Вас заинтересует