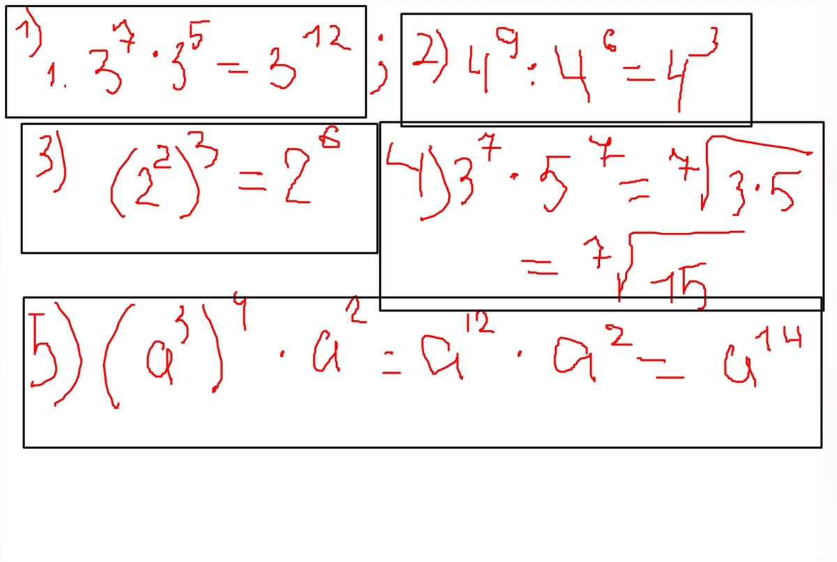
1. Представить в виде степени выражение:
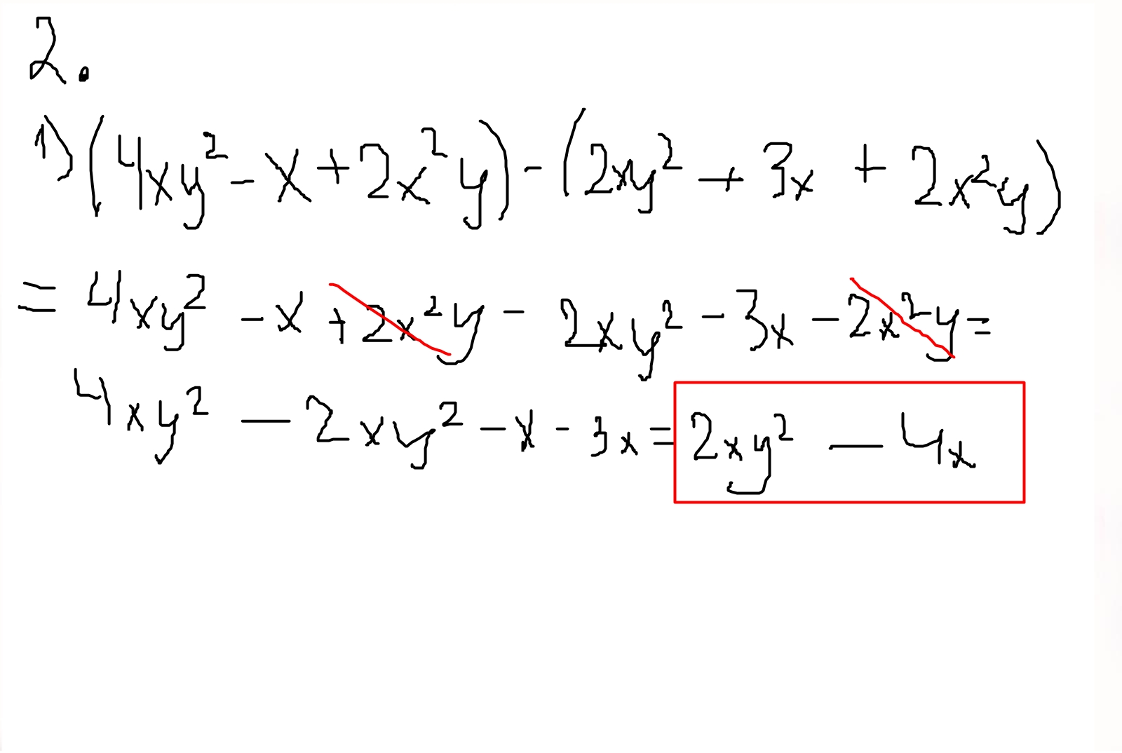
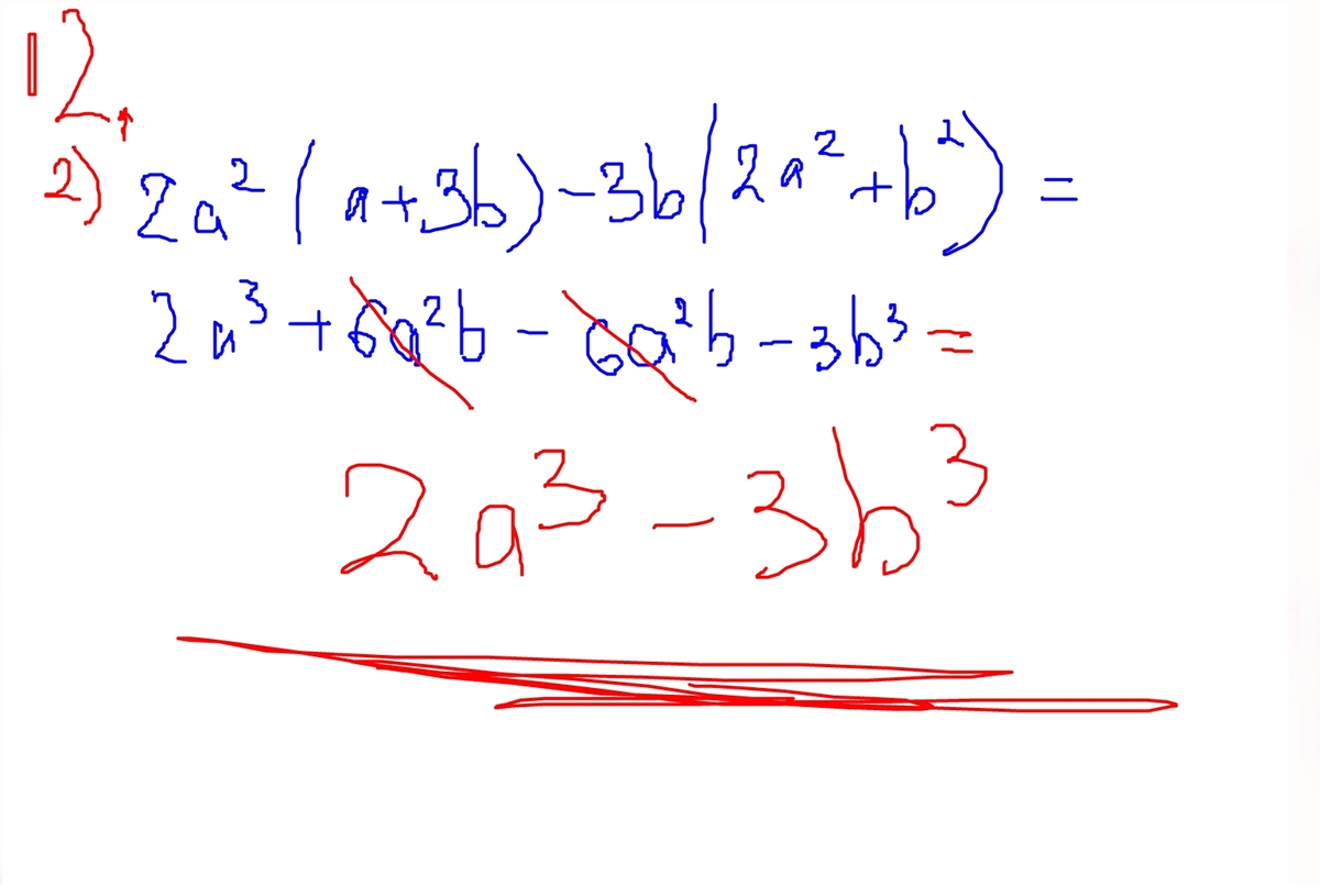
2. Упростить выражение:
3. Выполнить действия:
Приложения:

Ответы
Ответ дал:
0
1 картинка одно задание. З задание под 2 не знаю
Приложения:




Вас заинтересует
2 года назад
8 лет назад
8 лет назад
10 лет назад
10 лет назад
10 лет назад