• Предмет: Алгебра
  • Автор: Dasha2104
  • Вопрос задан 10 лет назад

помогите решить срочно нужно за ранее спасибо

Приложения:

Ответы

Ответ дал: red321
0
(0.04)^x=0.2\((0.2)^2)^x=(0.2)^1\(0.2)^{2x}=(0.2)^1\2x=1\x=frac{1}{2}


(frac{1}{8})^x=16\(frac{1}{2})^{3x}=(frac{1}{2})^{-4}\3x=-4\x=-frac{4}{3}


(frac{1}{64})^x=2\(frac{1}{2})^{6x}=(frac{1}{2})^{-1}\6x=-1\x=-frac{1}{6}


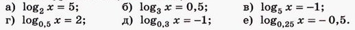
log_2x=5\x=2^5\x=32\\log_3x=0.5\x=3^{0.5}\x=sqrt{3}\\log_5x=-1\x=5^{-1}\x=frac{1}{5}\\log_{0.5}x=2\x=(0.5)^2\x=0.25


log_{0.3}x=-1\x=(0.3)^{-1}\x=frac{10}{3}\\log_{0.25}x=-0.5\x=(0.25)^{-0.5}\x=frac{1}{sqrt{0.25}}\x=frac{1}{0.5}\x=2
Ответ дал: Dasha2104
0
огромное спасибо! :)
Вас заинтересует