• Предмет: Алгебра
  • Автор: vikula19050
  • Вопрос задан 10 лет назад

Помогииитееее срооочнноооо :С

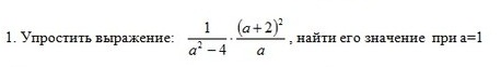
Приложения:

Ответы

Ответ дал: lana2881
0
Насчет правильности уверена не на 100%, но упростить не смогла
Приложения:
Вас заинтересует