• Предмет: Алгебра
  • Автор: karisha127
  • Вопрос задан 11 лет назад

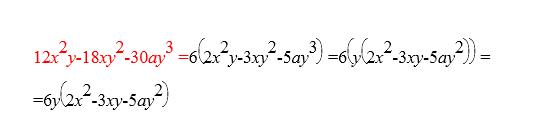
12Х (в квадрате) y-18xy(в квадрате)-30ay(в кубе) срочно помогите плыз

Ответы

Ответ дал: triolana
0

==================================================

Приложения:
Вас заинтересует