Тема: Действие над комплексными числами в показательной и тригонометрической формах.
Задание 1.
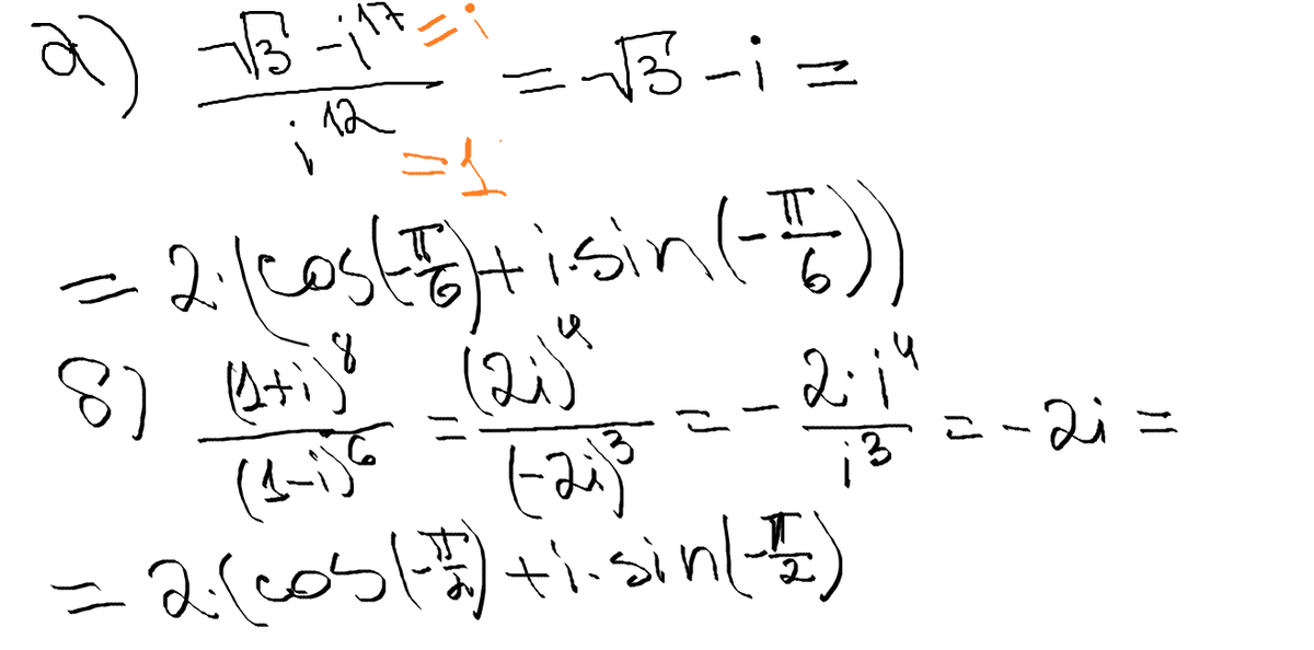
Выполните действия и запишите результат в тригонометрической форме.
а) (√3-i^17)/i^12
б) (1+i)^8/(1-i)^6
Ответы
Ответ дал:
0
Прикрепила:)
.................................
.................................
Приложения:
Вас заинтересует
3 года назад
8 лет назад
8 лет назад
10 лет назад
10 лет назад
11 лет назад