• Предмет: Алгебра
  • Автор: natalie19
  • Вопрос задан 10 лет назад

Помогите пожалуйста(

Приложения:

Ответы

Ответ дал: Аноним
0
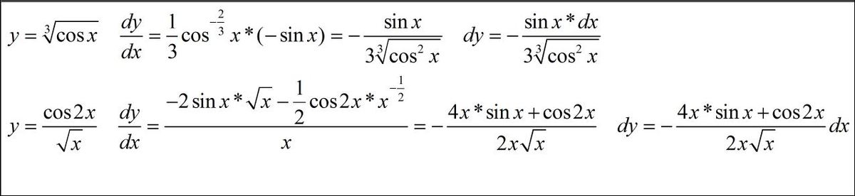
решение смотри во вложении
Приложения:
Вас заинтересует