Ответы
Ответ дал:
0
2)
3)h=2r
a=2r/sin60=2r:√3/2=4r/√3 сторона
S=4r/√3 *2r=8r²/√3
3)h=2r
a=2r/sin60=2r:√3/2=4r/√3 сторона
S=4r/√3 *2r=8r²/√3
Ответ дал:
0
2k-2-2k+3=1?значит 3 в 1
Ответ дал:
0
да нет изначально в условии в знаменателе 6 в степени...
Ответ дал:
0
6=2*3
Ответ дал:
0
а я так понимаю, что у них отдельно стоящая 2-это множитель, а все остальное-как бы в скобках, а то написали бы просто 2к-2, а не 2 к-2
Ответ дал:
0
в любом случае два варианта ответа лучше, чем ни одного
Ответ дал:
0
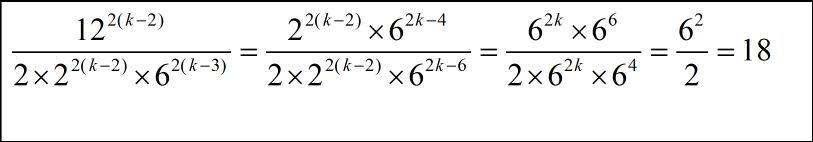
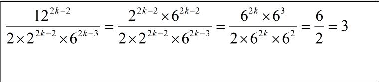
решение смотри во вложении
в равносторонних треугольниках все углы=60 ⁰
в равносторонних треугольниках все углы=60 ⁰
Приложения:
Вас заинтересует
3 года назад
3 года назад
8 лет назад
8 лет назад
10 лет назад
10 лет назад
11 лет назад
11 лет назад