• Предмет: Математика
  • Автор: JURMAN95
  • Вопрос задан 10 лет назад

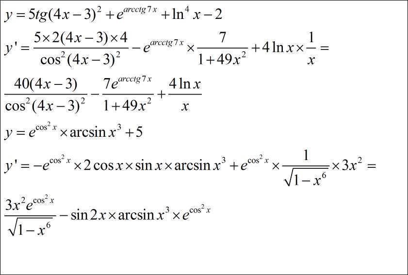
Вычислить производную функции y'(x)

Приложения:

Ответы

Ответ дал: Аноним
0
решение смотри во вложении
Приложения:
Вас заинтересует