• Предмет: Алгебра
  • Автор: Аноним
  • Вопрос задан 10 лет назад

Помогите решить уравнения
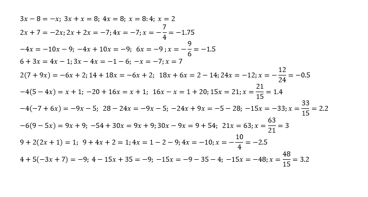
3x-8=-x
2x+7=-2x
-4x=-10x-9
6+3x=4x-1
2(7+9x)=-6x+2
-4(5-4x)=x+1
-4(-7+6x)=-9x-5
-6(9-5x)=9x+9
9+2(2x+1)=1
4+5(-3x+7)=-9

Ответы

Ответ дал: urasuper123
0
решение вашего задание 
Приложения:
Вас заинтересует