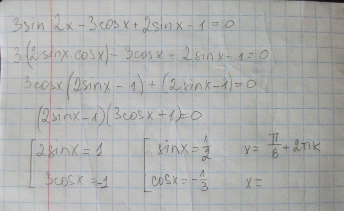
Тригонометрическое уравнение из ЕГЭ (задание №15).
Объясните, пожалуйста, как решать - не могу разобраться. Желательно очень подробно.
Приложения:

Ответы
Ответ дал:
0
до конца не дорешала, не помню... но может сама догадаешься....
удачи!
удачи!
Приложения:

Ответ дал:
0
Спасибо большое!!! Пункт а) сделала, а вот пункт б) не понимаю(((
Вас заинтересует
2 года назад
2 года назад
7 лет назад
7 лет назад
10 лет назад