Ответы
Ответ дал:
0
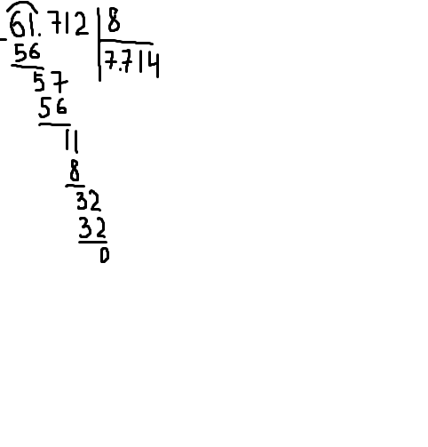
61712:8=7714
56
57
56
11
8
32
32
0
56
57
56
11
8
32
32
0
Ответ дал:
0
деление столбиком на 8
Приложения:

Вас заинтересует
2 года назад
7 лет назад
7 лет назад
10 лет назад
10 лет назад
10 лет назад