Ответы
Ответ дал:
1
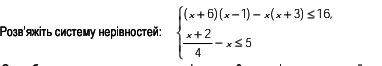
{(x+6)(x-1)-x(x+3)≤16
{x+2 - x ≤ 5
4
(x+6)(x-1)-x(x+3)≤16
x²+6x-x-6-x²-3x≤16
2x≤16+6
2x≤22
x≤11
x+2 - x ≤5
4
x+2 - x -5 ≤0
4
x+2-4x-20 ≤0
4
-3x-18 ≤0
4
-3x-18 ≤0
-3x≤18
x≥ -6
\\\\\\\\\\\\\\\\\\\\\\\\\
-------- -6 ------------- 11 -------------------
\\\\\\\\\\\\\\\\\\\\\\\\\\\\\
x∈[-6; 11]
{x+2 - x ≤ 5
4
(x+6)(x-1)-x(x+3)≤16
x²+6x-x-6-x²-3x≤16
2x≤16+6
2x≤22
x≤11
x+2 - x ≤5
4
x+2 - x -5 ≤0
4
x+2-4x-20 ≤0
4
-3x-18 ≤0
4
-3x-18 ≤0
-3x≤18
x≥ -6
\\\\\\\\\\\\\\\\\\\\\\\\\
-------- -6 ------------- 11 -------------------
\\\\\\\\\\\\\\\\\\\\\\\\\\\\\
x∈[-6; 11]
Вас заинтересует
2 года назад
2 года назад
2 года назад
2 года назад
7 лет назад
7 лет назад
9 лет назад