• Предмет: Математика
  • Автор: arkhacheval14
  • Вопрос задан 2 года назад

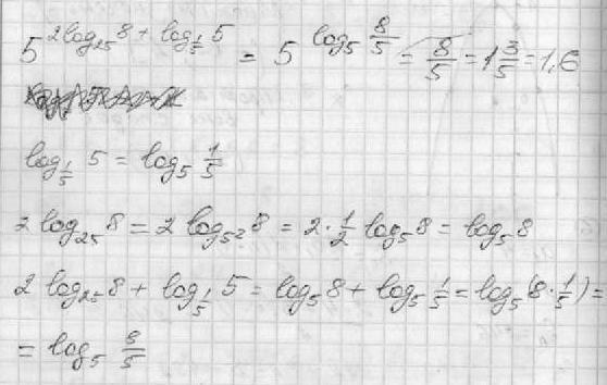
найдите значение выражения 5 ^(2 log25 8 + log1/5 5)-'все что в скобках это все в степени

Ответы

Ответ дал: математик2011
5
!!!!!!!!!!!!!!!!!!!!!!!!!!!!!!!!!
Приложения:
Вас заинтересует