Ответы
Ответ дал:
0
а) (2x+3)(2x+5)=0
4x^2+16x+15=0
D=16
x=-16+-4/8=-2.5; -1.5
б) (3x-7)(4-3x)=0
-9x^2+33x-28=0
D=81
x=-33+-9/-18=4/3; 7/3
в) (5-x)(3x+2)=0
-3x^2+13x+10=0
D=289
x=-13+-17/-6=-2/3; 5
г) (7-x)(6-9x)=0
3x^-23x+14=0
D=361
x=23+-19/6=2/3; 7
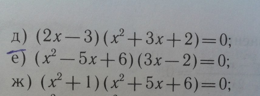
д) (2x-3)(x^2+3x+2)=0
(x+1)*(x+2)*(2x-3)=0
(x+1)*(x+2)*(x-1.5)=0
x=-1;-2;1.5
е) (x^2-5x+6)(3x-2)=0
(x-3)(x-2)(3x-2)=0
(x-3)(x-2)(x-2/3)=0
x=2/3;2;3
ж) (x^2+1)(x²+5x+6)=0
(x+2)(x+3)(x²+1)=0
x=-2;-3
x не может быть -1, потому что в квадрате он будет плюс и уравнение никогда не будет обращаться в ноль
4x^2+16x+15=0
D=16
x=-16+-4/8=-2.5; -1.5
б) (3x-7)(4-3x)=0
-9x^2+33x-28=0
D=81
x=-33+-9/-18=4/3; 7/3
в) (5-x)(3x+2)=0
-3x^2+13x+10=0
D=289
x=-13+-17/-6=-2/3; 5
г) (7-x)(6-9x)=0
3x^-23x+14=0
D=361
x=23+-19/6=2/3; 7
д) (2x-3)(x^2+3x+2)=0
(x+1)*(x+2)*(2x-3)=0
(x+1)*(x+2)*(x-1.5)=0
x=-1;-2;1.5
е) (x^2-5x+6)(3x-2)=0
(x-3)(x-2)(3x-2)=0
(x-3)(x-2)(x-2/3)=0
x=2/3;2;3
ж) (x^2+1)(x²+5x+6)=0
(x+2)(x+3)(x²+1)=0
x=-2;-3
x не может быть -1, потому что в квадрате он будет плюс и уравнение никогда не будет обращаться в ноль
Ответ дал:
0
Ты просто БОГ,спасибо
Ответ дал:
0
a) (2x+3)(2x+5)=0
2x+3=0
2x=-3
x=-3/2
2x+5=0
2x=-5
x=-5/2
Ответ: x1 = -3/2, x2 = -5/2.
b) (3x-7)(4-3x)=0
3x-7=0
3x=7
x=7/3
4-3x=0
3x=4
x=4/3
Ответ: x1 = 7/3, x2 = 4/3.
c) (5-x)(3x+2) =0
5-x=0
x=5
3x+2=0
3x=-2
x=-2/3
Ответ: x1 = 5, x2 = -2/3.
d) (7-x)(6-9x)=0
7-x=0
x=7
6-9x=0
9x=6
x=6/9=2/3
Ответ: x1 = 7, x2 = 2/3.
d) (2x-3)(x^2+3x+2)=0
2x-3=0
2x=3
x=3/2
x^2+3x+2=0
По теореме Виета:
x1=3, х2=-1.
Ответ: x1 = 3/2, x2 = 2, x3=-1.
e) (x^2-5x+6)(3x-2)=0
x^2-5x+6=0
x1=5 x2=1
3x+2=0
3x=2
x=2/3
Ответ: x1 = 5, x2 = 1, x3=2/3.
ж) (x^2+1)(x^2+5x+6)=0
В первой скобке корней нет, т.к. в первой половине x^2 всегда положительный и скобка не может быть нулем.
x^2+5x+6=0
D=b^2-4ac=25-4*6=25-24=1
x=(-b+-√D)/2a
x1=(-5+1)/2=-4/2=-2
x2=(-5-1)/2=-3
Ответ: x1 = -2, x2 = -3.
2x+3=0
2x=-3
x=-3/2
2x+5=0
2x=-5
x=-5/2
Ответ: x1 = -3/2, x2 = -5/2.
b) (3x-7)(4-3x)=0
3x-7=0
3x=7
x=7/3
4-3x=0
3x=4
x=4/3
Ответ: x1 = 7/3, x2 = 4/3.
c) (5-x)(3x+2) =0
5-x=0
x=5
3x+2=0
3x=-2
x=-2/3
Ответ: x1 = 5, x2 = -2/3.
d) (7-x)(6-9x)=0
7-x=0
x=7
6-9x=0
9x=6
x=6/9=2/3
Ответ: x1 = 7, x2 = 2/3.
d) (2x-3)(x^2+3x+2)=0
2x-3=0
2x=3
x=3/2
x^2+3x+2=0
По теореме Виета:
x1=3, х2=-1.
Ответ: x1 = 3/2, x2 = 2, x3=-1.
e) (x^2-5x+6)(3x-2)=0
x^2-5x+6=0
x1=5 x2=1
3x+2=0
3x=2
x=2/3
Ответ: x1 = 5, x2 = 1, x3=2/3.
ж) (x^2+1)(x^2+5x+6)=0
В первой скобке корней нет, т.к. в первой половине x^2 всегда положительный и скобка не может быть нулем.
x^2+5x+6=0
D=b^2-4ac=25-4*6=25-24=1
x=(-b+-√D)/2a
x1=(-5+1)/2=-4/2=-2
x2=(-5-1)/2=-3
Ответ: x1 = -2, x2 = -3.
Вас заинтересует
3 года назад
3 года назад
8 лет назад
8 лет назад
10 лет назад
10 лет назад
10 лет назад
10 лет назад