• Предмет: Геометрия
  • Автор: 8800555353535
  • Вопрос задан 10 лет назад

ПОМОГИТЕ!!!!!
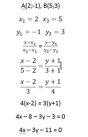
составьте уравнения прямой проходящей через точки А(2,-1) и В(5,3)

Ответы

Ответ дал: AmeliaBrown
0
1. Уравнение прямой, проходящей через две точки составляем используя формулу.
2. Подставляем координаты точек.
3. Сокращаем и приводим уравнение к общему виду.
Приложения:
Вас заинтересует