• Предмет: Алгебра
  • Автор: Alex364
  • Вопрос задан 10 лет назад

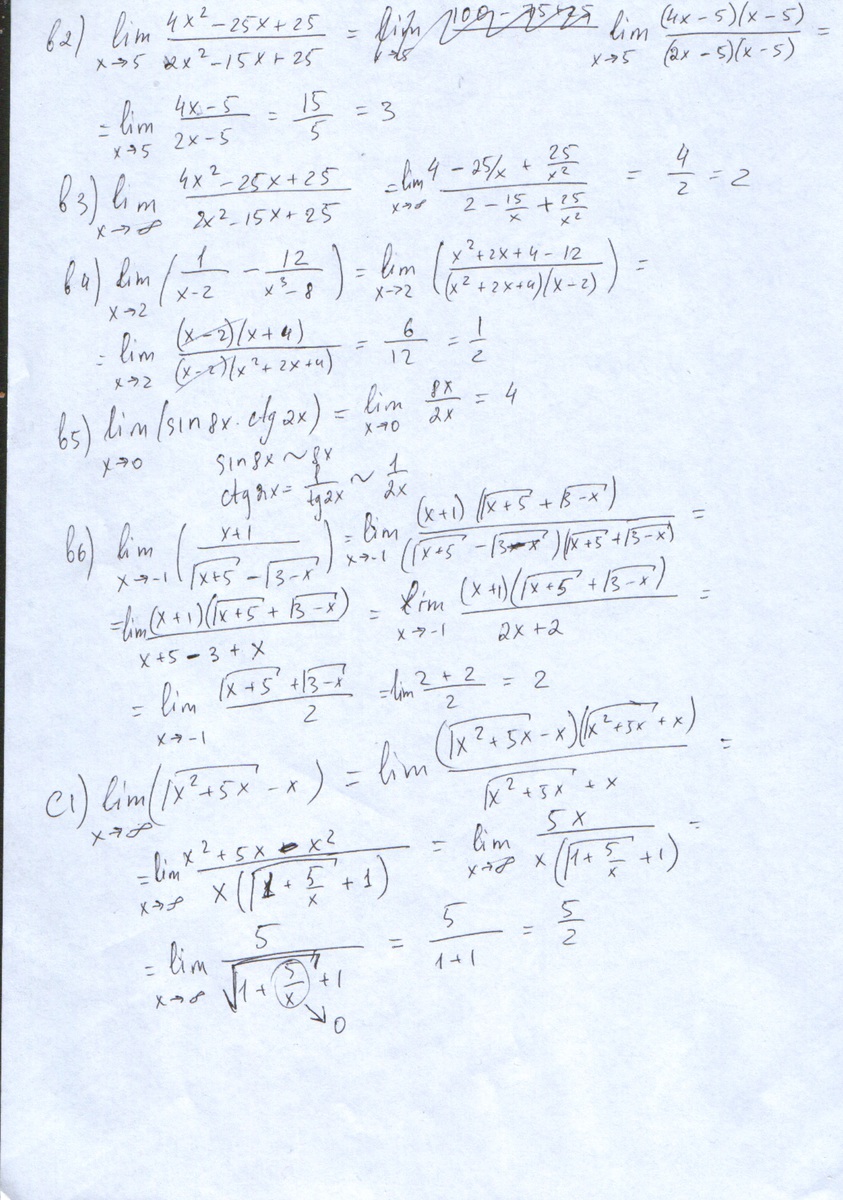
Решите, пожалуйста, C1

Приложения:

Ответы

Ответ дал: sirca
0
решение смотри в самом конце
Приложения:
Вас заинтересует