• Предмет: Геометрия
  • Автор: garik555
  • Вопрос задан 11 лет назад

Высота правильного треугольника равна 9см. Вычислите площадь круга, ограниченного описанной около треугольника окружностью.

Ответы

Ответ дал: marysa30001
0

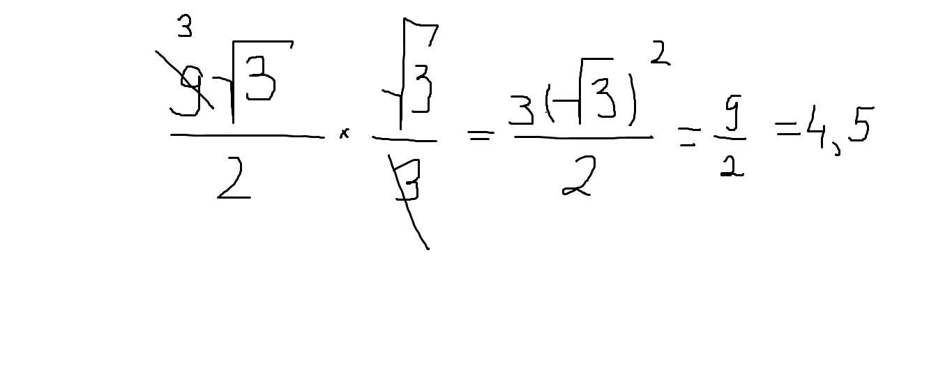
висота= a*(√3/2)
a= 9/ (√3/2)
радіус =  a*(√3/3)
R=(9/ (√3/2))* (√3/3)=9/2=4,5
S=pi*R²
S= pi*20,25=3,14*20,25=63,585 (см²)
Відповідь: 63,585 см² 

Приложения:
Ответ дал: Pans
0

В правильном или равностороннем треугольнике высота совпадает с медианой. Поэтому первая замечательная точка треугольника совпадает с точкой пересечения высот  (медиан). Медианы делятся точкой пересечения в отношении 1:2. Т.е. расстояние от точки пересечения (О)  до любой из вершин равно 9:3х2 = 6см. Эта точка является центром описанной вокруг треугольника окружности.

Площадь круга равна пи*R^2  или  36пи.

Приложения:
Вас заинтересует