• Предмет: Алгебра
  • Автор: Юрик111
  • Вопрос задан 11 лет назад

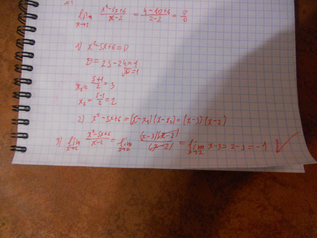
найти предел lim(х стремится к 2) х^2-5x+6/x-2 помогите

Ответы

Ответ дал: oleg20010
0

Вот решение:Во влажении,тут надо просто приравнять уравнение в знаменателе к нулю.Все понятно?

Приложения:
Вас заинтересует