Пожалуиста помогите решить, не знаю получилось отправить вложение задания , делаю это первый раз.
Приложения:



Ответы
Ответ дал:
0
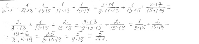
надесю, мой вариант решения Вас устроит )
Приложения:

Вас заинтересует
2 года назад
2 года назад
8 лет назад
10 лет назад
10 лет назад
10 лет назад