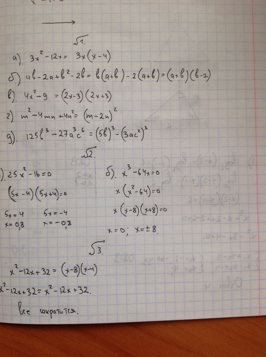
1. Разложите многочлен на множители:
а) 3x^2-12x
б) ab-2a+b^2-2b
в) 4x^2-9
г) m^2-4mn+4n^2
д) 125b^3-27a^3c^6
2. Решите уравнение: 25x^2-16=0 б) x^3-64x=0
3. Докажите что равенство верно при любых значениях X:
x^2-12x+32=(x-8)(x-4)
Ответы
Ответ дал:
0
Нужно подумать только над первым номером под буквой Д
Приложения:
Вас заинтересует
3 года назад
3 года назад
8 лет назад
8 лет назад
10 лет назад
10 лет назад
10 лет назад