• Предмет: Алгебра
  • Автор: MariaM230
  • Вопрос задан 10 лет назад

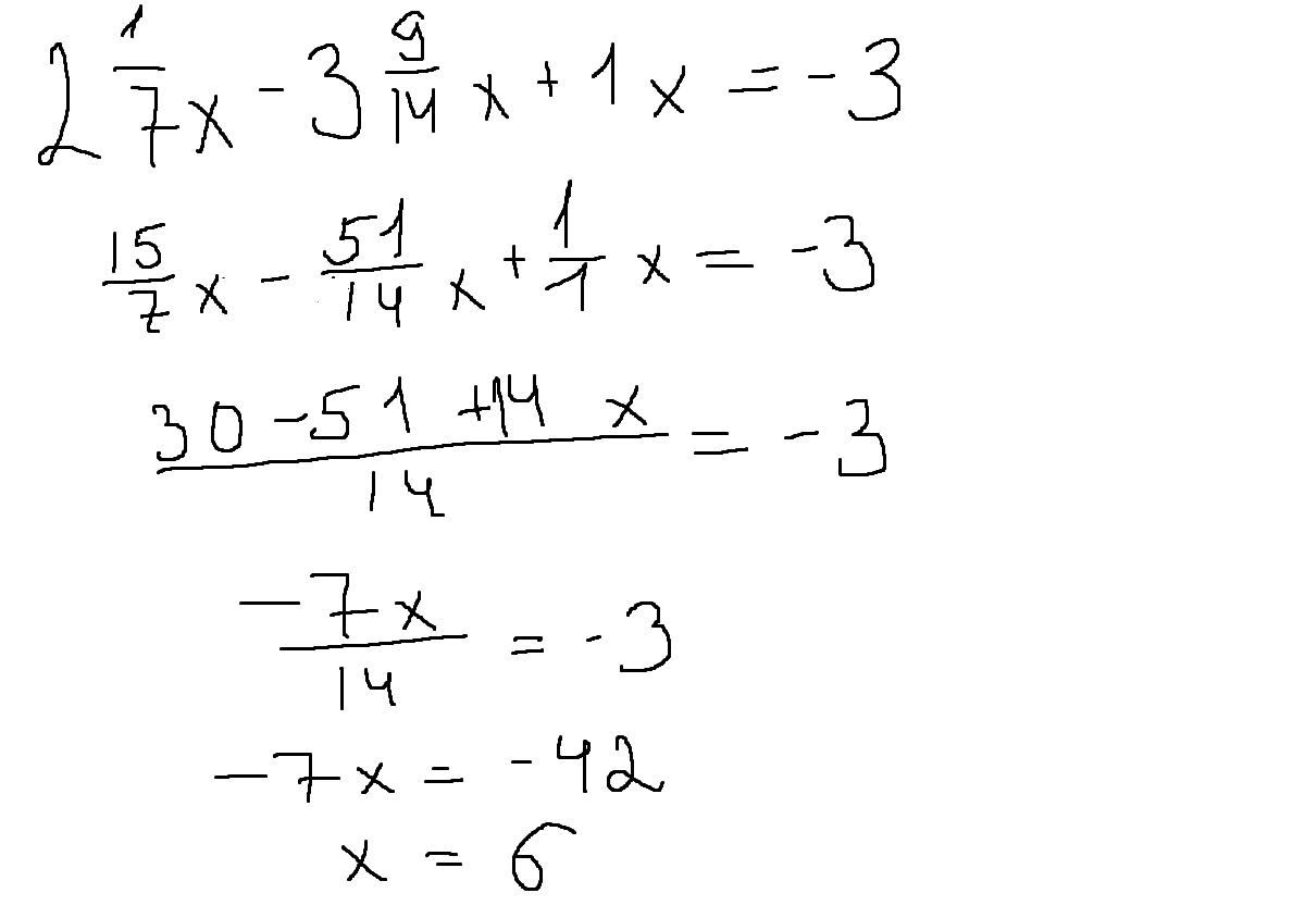
Уравнение 2 целых 1/7х -3 целых 9/14х+1х =-3

Ответы

Ответ дал: Gitazil
0
Если я не ошибаюсь, то как-то так: 
Приложения:
Ответ дал: MariaM230
0
Спасибо, помог!!!
Вас заинтересует