• Предмет: Алгебра
  • Автор: Lizuuuuuuunya
  • Вопрос задан 10 лет назад

Как решить такой пример,объясните пожалуйста!

Приложения:

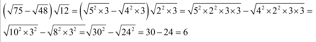
Ответы

Ответ дал: Аноним
0
решение смотри во вложении
Приложения:
Ответ дал: Lizuuuuuuunya
0
СПАСИБО ВАМ ОГРОМНОЕ
Вас заинтересует