помогите пожалуйста с логарифмами. заранее большое спасибо
примеры на изображении (они вроде как легкие)
буду благодарен. очень нужно решить.
Приложения:

Ответы
Ответ дал:
0
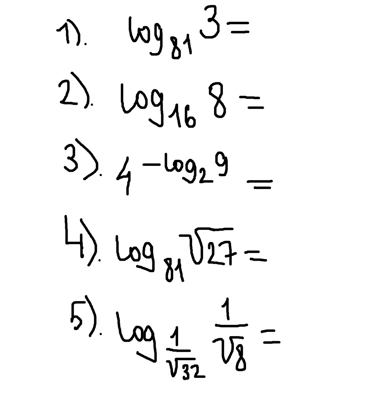
log81(3)=14
log16(8)=43
4-log2(9)=4-3=1
лучше подожди другие ответы, я в своих неуверенна
извини, пожалуйста...(
log16(8)=43
4-log2(9)=4-3=1
лучше подожди другие ответы, я в своих неуверенна
извини, пожалуйста...(
Ответ дал:
0
все ровно спасибо)
Вас заинтересует
2 года назад
2 года назад
7 лет назад
7 лет назад
9 лет назад
10 лет назад
10 лет назад