• Предмет: Алгебра
  • Автор: artikdren3
  • Вопрос задан 9 лет назад

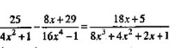
Как решить уравнение

Приложения:

Ответы

Ответ дал: kirichekov
0
решение во вложении-------------------
Приложения:
Вас заинтересует