• Предмет: Алгебра
  • Автор: Adelain
  • Вопрос задан 9 лет назад

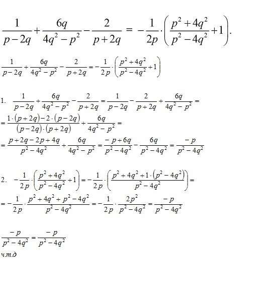
Докажите тождество, пожалуйста

Приложения:

Ответы

Ответ дал: kirichekov
0
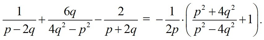
решение во вложении-----------------------
Приложения:
Вас заинтересует